Do not mourn Nobias any longer: InertSep ME-2 is coming!
Thanks to the thorough development proposed by Alifia and co-workers (2026, see reference below), the community may have a solution to the shortage of Nobias Chelate PA-1. Using a bracketing standard approach, the authors achieved simultaneous analysis of medium- to heavy-mass trace elements using small sample volumes, with high analytical precision and repeatability in natural waters across a wide range of ionic strengths.
A few words on the solid-phase extraction (SPE): 50 mL of natural water, buffered at pH 5.5 (0.1 M NH4Ac), loading flow rate 2 mL/min, elution with 3 mL of 3 M HNO3 followed by 3 mL of MQW at a flow rate of 1.5 mL/min.
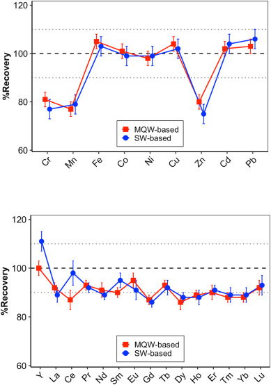
Analytical performance is good, with major ions (manganese, calcium, sodium and potassium) efficiently removed (~100%), repeatability and intermediate precision generally below 3–5% RSD, and recoveries close to quantitative (~95–105%), and ability to evaluate potential element fractionation during the analytical process. Let’s try it!


Reference:
Alifia, Z., Zhang, J., Haryanto, M. J., Nahar, Mst. S., & Kagaya, S. (2026). A versatile solid-phase extraction method using InertSep ME-2 for simultaneous analysis of covering medium to heavy mass trace elements in diverse water matrices. Talanta, 306, 129694. doi:10.1016/j.talanta.2026.129694
